Function approximation是从function space方面进行numerical optimization,其将stagewise additive expamsions和steepest-descent minimization结合起来。而由此而来的Gradient Boosting Decision Tree(GBDT)可以适用于regression和classification,都具有完整的,鲁棒性高,解释性好的优点。
在机器学习的任务中,我们一般面对的问题是构造loss function,并求解其最小值。可以写成如下形式:

通常的loss function有:
1. regression:均方误差(y-F)2,绝对误差|y-F|
2. classification:negative binomial log-likelihood log(1+e-2yF)
一般情况下,我们会把F(x)看做是一系列带参数的函数集合 F(x;P),于是进一步将其表示为“additive”的形式:

我们可以通过选取一个参数模型F(x;P),来将function optimization问题转化为一个parameter optimization问题:

进一步,我们可以把要优化的参数也表示为“additive”的形式:

梯度下降是最简单,最常用的numerical optimization method之一。
首先,计算出当前的梯度:

where 
而梯度下降的步长为:
where
,称为“line search”。
现在,我们考虑“无参数”模型,转而考虑直接在function space 进行numerical optimization。这时候,我们将在每个数据点x处的函数值F(x)看做是一个“参数”,仍然是来对loss funtion求解最小值。
在function space,为了表示一个函数F(x),理想状况下有无数个点,但在现实中,我们用有限个(N个)离散点来表示它:
。
按照之前的numerical optimization的方式,我们需要求解:

使用steepest-descent,有:

where
,and 
当我们面对的情况为:用有限的数据集
表示x,y的联合分布的时候,上述的方法就有点行不通了。我们可以试试“greedy-stagewise”的方法:


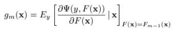
但是对于一般的loss function和base learner来说,(9)式是很难求解的。给定了m次迭代后的当前近似函数Fm-1(x),当步长的direction
是指数函数集合
当中的一员时,
可以看做是在求解最优值上的greedy step,同样,它也可以被看做是相同限制下的steepest-descent step。作为比较,
给出了在无限制条件下,在Fm-1(x)处的steepest-descent step direction。一种行之有效的方法就是在求解
的时候,把它取为无限制条件下的负梯度方向
:

where 
这就把(9)式中较难求解的优化问题转化为了一个基于均方误差的拟合问题。
Gradient Boosting的通用解法如下:

GBDT的全称是Gradient Boosting Decision Tree,Gradient Boosting和Decision Tree是两个独立的概念。因此我们先说说Boosting。Boosting的概念很好理解,意思是用一些弱分类器的组合来构造一个强分类器。因此,它不是某个具体的算法,它说的是一种理念。和这个理念相对应的是一次性构造一个强分类器。像支持向量机,逻辑回归等都属于后者。通常,我们通过相加来组合分类器,形式如下:

给定一个问题,我们如何构造这些弱分类器呢?Gradient Boosting Modeling (GBM) 就是构造 这些弱分类的一种方法。同样,它指的不是某个具体的算法,仍然只是一个理念。在理解 Gradient Boosting Modeling 之前,我们先看看一个典型的优化问题:

针对这种优化问题,有一个经典的算法叫 Steepest Gradient Descent,也就是最深梯度下降法。 这个算法的过程大致如下:

以上迭代过程可以这么理解:整个寻优的过程就是个小步快跑的过程,每跑一小步,都往函数当前下降最快的那个方向走一点。
这样寻优得到的结果可以表示成加和形式,即:

这个形式和以上Fm(x)是不是非常相似? Gradient Boosting 正是由此启发而来。 构造Fm(x)本身也是一个寻优的过程,只不过我们寻找的不是一个最优点,而是一个最优的函数。优化的目标通常都是通过一个损失函数来定义,即:

其中Loss(F(xi), yi)表示损失函数Loss在第i个样本上的损失值,xi和yi分别表示第 i 个样本的特征和目标值。常见的损失函数如平方差函数:

类似最深梯度下降法,我们可以通过梯度下降法来构造弱分类器f1, f2, ... , fm,只不过每次迭代时,令

即对损失函数L,以 F 为参考求取梯度。
这里有个小问题,一个函数对函数的求导不好理解,而且通常都无法通过上述公式直接求解 到梯度函数gi。为此,采取一个近似的方法,把函数Fi?1理解成在所有样本上的离散的函数值,即:

不难理解,这是一个 N 维向量,然后计算
这是一个函数对向量的求导,得到的也是一个梯度向量。注意,这里求导时的变量还是函数F,不是样本xk。
严格来说 g?i(xk) for k = 1,2, ... , N 只是描述了gi在某些个别点上的值,并不足以表达gi,但我们可以通过函数拟合的方法从g?i(xk) for k = 1,2, ... , N 构造gi,这样我们就通过近似的方法得到了函数对函数的梯度求导。
因此 GBM 的过程可以总结为如下:

常量函数f0通常取样本目标值的均值,即

以上 Gradient Boosting Modeling 的过程中,还没有说清楚如何通过离散值 g?i?1(xj) for j = 1,2,3,...N 构造拟合函数gi?1。函数拟合是个比较熟知的概念,有很多现成的方法,不过有一种拟合方法广为应用,那就是决策树 Decision Tree,有关决策树的概念,理解GBDT重点首先是Gradient Boosting,其次才是 Decision Tree。GBDT 是 Gradient Boosting 的一种具体实例,只不过这里的弱分类器是决策树。如果你改用其他弱分类器 XYZ,你也可以称之为 Gradient Boosting XYZ。只不过 Decision Tree 很好用,GBDT 才如此引人注目。
谈到 GBDT,常听到一种简单的描述方式:“先构造一个(决策)树,然后不断在已有模型和实际样本输出的残差上再构造一颗树,依次迭代”。其实这个说法不全面,它只是 GBDT 的一种特殊情况,为了看清这个问题,需要对损失函数的选择做一些解释。
从对GBM的描述里可以看到Gradient Boosting过程和具体用什么样的弱分类器是完全独立的,可以任意组合,因此这里不再刻意强调用决策树来构造弱分类器,转而我们来仔细看看弱分类器拟合的目标值,即梯度g?i?1(xj ),之前我们已经提到过

Boosting 是一类机器学习算法,在这个家族中还有一种非常著名的算法叫 AdaBoost,是 Adaptive Boosting 的简称,AdaBoost 在人脸检测问题上尤其出名。既然也是 Boosting,可以想象它的构造过程也是通过多个弱分类器来构造一个强分类器。那 AdaBoost 和 GBDT 有什么区别呢?
两者最大的区别在于,AdaBoost 不属于 Gradient Boosting,即它在构造弱分类器时并没有利用到梯度下降法的思想,而是用的Forward Stagewise Additive Modeling (FSAM)。为了理解 FSAM,在回过头来看看之前的优化问题。

严格来说之前描述的优化问题要求我们同时找出α1, α2, ... , αm和f1, f2, f3 ... , fm,这个问题很 难。为此我们把问题简化为分阶段优化,每个阶段找出一个合适的α 和f 。假设我们已经 得到前 m-1 个弱分类器,即Fm?1(x),下一步在保证Fm?1(x)不变的前提下,寻找合适的 αmfm(x)。按照损失函数的定义,我们可以得到

如果 Loss 是平方差函数,则我们有

这里yi ? Fm?1(xi)就是当前模型在数据上的残差,可以看出,求解合适的αmfm(x)就是在这 当前的残差上拟合一个弱分类器,且损失函数还是平方差函数。这和 GBDT 选择平方差损失 函数时构造弱分类器的方法恰好一致。
(1)拟合的是“残差”,对应于GBDT中的梯度方向。
(2)损失函数是平方差函数,对应于GBDT中用Decision Tree来拟合“残差”。

其中 wim?1= exp(?yi(Fm?1(xi))和要求解的αmfm(x)无关,可以当成样本的权重,因此在这种情况下,构造弱分类器就是在对样本设置权重后的数据上拟合,且损失函数还是指数形式。 这个就是 AdaBoost,不过 AdaBoost 最早并不是按这个思路推出来的,相反,是在 AdaBoost 提出 5 年后,人们才开始用 Forward Stagewise Additive Modeling 来解释 AdaBoost 背后的原理。
为什么要把平方差和指数形式 Loss 函数单独拿出来说呢?这是因为对这两个损失函数来说, 按照 Forward Stagewise Additive Modeling 的思路构造弱分类器时比较方便。如果是平方差损 失函数,就在残差上做平方差拟合构造弱分类器; 如果是指数形式的损失函数,就在带权 重的样本上构造弱分类器。但损失函数如果不是这两种,问题就没那么简单,比如绝对差值 函数,虽然构造弱分类器也可以表示成在残差上做绝对差值拟合,但这个子问题本身也不容 易解,因为我们是要构造多个弱分类器的,所以我们当然希望构造弱分类器这个子问题比较 好解。因此 FSAM 思路无法推广到其他一些实用的损失函数上。相比而言,Gradient Boosting Modeling (GBM) 有什么优势呢?GBM 每次迭代时,只需要计算当前的梯度,并在平方差损 失函数的基础上拟合梯度。虽然梯度的计算依赖原始问题的损失函数形式,但这不是问题, 只要损失函数是连续可微的,梯度就可以计算。至于拟合梯度这个子问题,我们总是可以选 择平方差函数作为这个子问题的损失函数,因为这个子问题是一个独立的回归问题。
因此 FSAM 和 GBM 得到的模型虽然从形式上是一样的,都是若干弱模型相加,但是他们求 解弱分类器的思路和方法有很大的差别。只有当选择平方差函数为损失函数时,这两种方法 等同。
以上比较了 GBM 和 FSAM,可以看到 GBM 在损失函数的选择上有更大的灵活性,但这不足以解释GBDT的全部优势。GBDT是拿Decision Tree作为GBM里的弱分类器,GBDT的优势 首先得益于 Decision Tree 本身的一些良好特性,具体可以列举如下:
Decision Tree 可以很好的处理 missing feature,这是他的天然特性,因为决策树的每个节点只依赖一个 feature,如果某个 feature 不存在,这颗树依然可以拿来做决策,只是少一些路径。像逻辑回归,SVM 就没这个好处。
Decision Tree 可以很好的处理各种类型的 feature,也是天然特性,很好理解,同样逻辑回归和 SVM 没这样的天然特性。
对特征空间的 outlier 有鲁棒性,因为每个节点都是 x < ?? 的形式,至于大多少,小多少没有区别,outlier 不会有什么大的影响,同样逻辑回归和 SVM 没有这样的天然特性。
如果有不相关的 feature,没什么干扰,如果数据中有不相关的 feature,顶多这个 feature 不出现在树的节点里。逻辑回归和 SVM 没有这样的天然特性(但是有相应的补救措施,比如逻辑回归里的 L1 正则化)。
数据规模影响不大,因为我们对弱分类器的要求不高,作为弱分类器的决策树的深 度一般设的比较小,即使是大数据量,也可以方便处理。像 SVM 这种数据规模大的时候训练会比较麻烦。
当然 Decision Tree 也不是毫无缺陷,通常在给定的不带噪音的问题上,他能达到的最佳分类效果还是不如 SVM,逻辑回归之类的。但是,我们实际面对的问题中,往往有很大的噪音,使得 Decision Tree 这个弱势就不那么明显了。而且,GBDT 通过不断的叠加组合多个小的 Decision Tree,他在不带噪音的问题上也能达到很好的分类效果。换句话说,通过GBDT训练组合多个小的 Decision Tree 往往要比一次性训练一个很大的 Decision Tree 的效果好很多。因此不能把 GBDT 理解为一颗大的决策树,几颗小树经过叠加后就不再是颗大树了,它比一颗大树更强。
原文:http://www.cnblogs.com/bentuwuying/p/6667267.html