动手动脑1:
package meiju;
public class meiju {
	private enum MyEnum
    {
  	  ONE,TWO,THREE
    }
	public static void main(String[] args) {
		// TODO Auto-generated method stub
      for(MyEnum value:MyEnum.values())
      {
    	  System.out.println(value);
      }
      
	}
}
仔细阅读示例:EnumTest.java,运行它,分析运行结果?你能得到什么结论?

enum Size{ SMALL , MEDIUM , LARGE }的类型使用;
枚举类型是引用类型,枚举不属于原始数据类型,它的每个具体值都引用一个特定的对象。相同的值则引用同一个对象;
可通过特定函数进行字符串的输出。
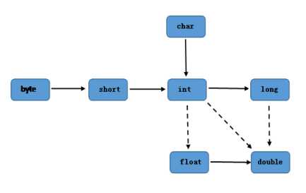
动手动脑2:

看着这个图,再查查Java中每个数据类型所占的位数,和表示数值的范围,你能得出什么结论?
1.Int          32位       取值范围为       -2的31次方到2的31次方减1之间的任意整数(-2147483648~2147483647);
2.Short      16位       取值范围为       -32768~32767之间的任意整数;
3.long        64位       取值范围为       -2的63次方到2的63次方减1之间的任意整数(-9223372036854774808~9223372036854774807);
4.float        32位       取值范围为       3.402823e+38 ~ 1.401298e-45;
5.double     64位       取值范围为       1.797693e+308~ 4.9000000e-324;
6.char        8位       取值范围为         -128~127
7.byte        8位       取值范围为         -128~127之间的任意整数
结论:不同数据类型进行类型转换时可能会有精度的缺失,因此要注意各种类型的取值范围。
动手动脑3:
以下代码的输出结果是什么?
int X=100;
int Y=200;
System.out.println("X+Y="+X+Y);
System.out.println(X+Y+"=X+Y");
为什么会有这样的输出结果?
Public class Plus
{
Public static void main(String[] args)
{
int X=100;
int Y=200;
System.out.println("X+Y="+X+Y);
System.out.println(X+Y+"=X+Y");
}
}

如果string字符串后面是+和变量,会自动把变量转换成string类型,则加号起连接作用,然后把两个字符串连接成一个新的字符串输出;如果先有变量的加减运算再有字符串,那么会从左到右先计算变量的加减,然后再与后面的string结合成一个新的字符串。
课后练习1:
阅读相应教材,或者使用互联网搜索引擎,弄清楚反码、补码跟原码这几个概念,然后编写示例程序,对正数、负数进行各种位操作,观察输出结果,与手工计算的结果进行比对,看看Java中的数是采用上述哪种码表示的。
在计算机内,定点数有3种表示法:原码、反码和补码。反码是数值存储的一种,但是由于补码更能有效表现数字在计算机中的形式,所以多数计算机一般都不采用反码表示数。
所谓原码就是二进制定点表示法,即最高位为符号位,"0"表示正,"1"表示负,其余位表示数值的大小。
反码表示法规定:正数的反码与其原码相同;负数的反码是对其原码逐位取反,但符号位除外。
原码10010= 反码11101 (10010,1为符号码,故为负)
(11101) 二进制= -2 十进制
补码表示法规定:正数的补码与其原码相同;负数的补码是在其反码的末位加1。
课后练习2:
Java变量遵循“同名变量的屏蔽原则”,请课后阅读相关资料弄清楚相关知识,然后自己编写一些测试代码,就象本示例一样,有意识地在不同地方定义一些同名变量,看看输出的到底是哪个值。
作为一个通用规则,在一个作用域中定义的变量对于该作用域外的程序是不可见(即访问)的。因此,当你在一个作用域中定义一个变量时,你就将该变量局部化并且保护它不被非授权访问和/或修改

课后练习3:
为什么double类型的数值进行运算得不到“数学上精确”的结果?
这个涉及到二进制与十进制的转换问题。
N进制可以理解为:数值×基数的幂,例如我们熟悉的十进制数123.4=1×10²+2×10+3×(10的0次幂)+4×(10的-1次幂);其它进制的也是同理,例如二进制数11.01=1×2+1×(2的0次幂)+0+1×(2的-2次幂)=十进制的3.孩偿粉锻莠蹬疯拳弗哗25。
double类型的数值占用64bit,即64个二进制数,除去最高位表示正负符号的位,在最低位上一定会与实际数据存在误差(除非实际数据恰好是2的n次方)
原文:http://www.cnblogs.com/xxdcxy/p/5936066.html