笔算开方
笔算开平方法,用这个方法可以求出任何正数的算术平方根。
(并非是近似值,而是精确值)
原理:
方法可简记为——二十倍初商加试商
预备:
下面具体来讲一下计算步骤:
估计出a的最大值(此为试商),使得
结果不大于开方余项。新的除数与新商得出乘积,算出新的余数
这样讲述显得苍白无力(有一个大概印象即可),我们直接看例子:
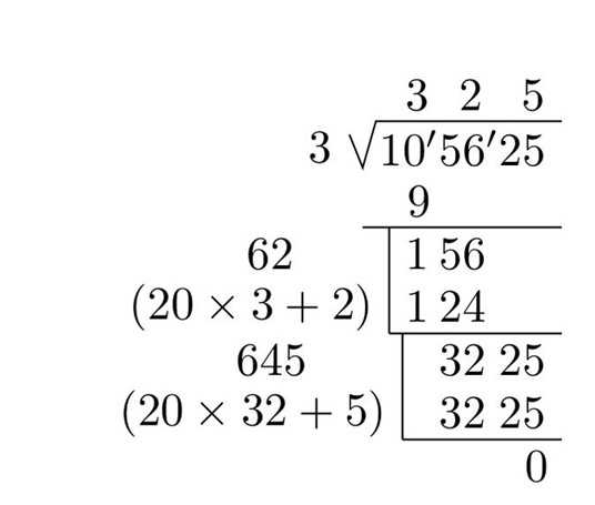
例如对105625进行开方:

首先对105625进行分段,从右往左每两位数字分为1段,也就是10,56,25三段数字。先算出平方根的第一位数字,在平方不超过10的数字里取最大的,比如1的平方为1,2的平方为4,3的平方为9,4的平方为16,16已经超过10了,1,2,3的平方都比10小,那平方根首位数字取3,因为 1,2,3当中3最大
10-3的平方=1,将被开方数第二段数字补上去,得到156。现在算平方根第二位数字。假设这第二位数字为a,取算式a*(20*3+a),式子中20是一个固定不变的数(不论被开方数是多少)3就是刚刚计算出的平方根的首位数字。对a的值进行估计,使得 a*(20*3+a)不超过156。取a=1,a(20*3+a)=61,a=2时a(20*3+a)=124,a=3时 a*(20*3+a)=189,189已经超过156,所以a在1,2之间取值取最大的一个数,也就是2,平方根的第二位数字就是2了
a(20*3+a)=124,62 乘以平方根第二位数字,也就是62*2=124,156-124=32,将被开方数第三段数字补上去,得到3225,与前面类似,取算式 b(20*32+b),式子中20还是固定不变的数字,32是刚刚算出的平方根的前两位数字,对b取值,使得b(20*32+b)不超过3225,由计算 可知b=5,平方根第三位数字即为5
如果平方根还有第四位数字,或者更多,假设325后面还有第四位数字,算第四位数字时取算式 a(20*325+a),式子中的325即是已经算出的平方根的几位数字,后面算法都跟前面类似。对于被开方数是小数,分段时要注意,比如计算1.323 的平方根,它的小数位有3位,位数是奇数个,要补一个0上去,即1.3230,然后从左往右每两位数字分为一段。比如开方数是3.7478,小数位有4位数字,是偶数个位数,不用补0,可以直接分段,小数和整数的开方计算方法是一样的。
练习:

原文:http://www.cnblogs.com/vacation/p/5692438.html