首页 > 其他 > 详细

Coursera公开课笔记: 斯坦福大学机器学习第七课“正则化”

时间:2016-07-03 01:49:39      阅读:335      评论:0      收藏:0      [点我收藏+]

Coursera公开课笔记: 斯坦福大学机器学习第七课“正则化”

技术分享

斯坦福大学机器学习第七课”正则化“学习笔记,本次课程主要包括4部分:

1) The Problem of Overfitting(过拟合问题)

2) Cost Function(成本函数)

3) Regularized Linear Regression(线性回归的正则化)

4) Regularized Logistic Regression(逻辑回归的正则化)

以下是每一部分的详细解读。

1) The Problem of Overfitting(过拟合问题)

拟合问题举例-线性回归之房价问题:

a) 欠拟合(underfit, 也称High-bias)

技术分享

b) 合适的拟合:

技术分享

c) 过拟合(overfit,也称High variance)

技术分享

什么是过拟合(Overfitting):

如果我们有非常多的特征,那么所学的Hypothesis有可能对训练集拟合的非常好(技术分享),但是对于新数据预测的很差。

过拟合例子2-逻辑回归:

与上一个例子相似,依次是欠拟合,合适的拟合以及过拟合:

a) 欠拟合

技术分享

b) 合适的拟合

技术分享

c) 过拟合

技术分享

如何解决过拟合问题:

首先,过拟合问题往往源自过多的特征,例如房价问题,如果我们定义了如下的特征:

技术分享

那么对于训练集,拟合的会非常完美:

技术分享

所以针对过拟合问题,通常会考虑两种途径来解决:

a) 减少特征的数量:

-人工的选择保留哪些特征;

-模型选择算法(之后的课程会介绍)

b) 正则化

-保留所有的特征,但是降低参数技术分享的量/值;

-正则化的好处是当特征很多时,每一个特征都会对预测y贡献一份合适的力量;

2) Cost Function(成本函数)

依然从房价预测问题开始,这次采用的是多项式回归:

a) 合适的拟合:

技术分享

b) 过拟合

技术分享

直观来看,如果我们想解决这个例子中的过拟合问题,最好能将技术分享的影响消除,也就是让技术分享.

假设我们对技术分享进行惩罚,并且令其很小,一个简单的办法就是给原有的Cost function加上两个略大惩罚项,例如:

技术分享

这样在最小化Cost function的时候,技术分享.

正则化:

参数技术分享取小一点的值,这样的优点:

-“简化”的hypothesis;

-不容易过拟合;

对于房价问题:

-特征包括:技术分享

-参数包括:技术分享

我们对除技术分享以为的参数进行惩罚,也就是正则化:

技术分享

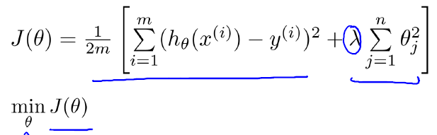
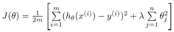
正式的定义-经过正则化的Cost Function有如下的形式:

技术分享

其中技术分享称为正则化参数,我们的目标依然是最小化技术分享: 技术分享

例如,对于正则化的线性回归模型来说,我们选择技术分享来最小化如下的正则化成本函数:
技术分享

如果将 技术分享 设置为一个极大的值(例如对于我们的问题,设 技术分享)? 那么

-算法依然会正常的工作, 将 技术分享设置的很大不会影响算法本身;

-算法在去除过拟合问题上会失败;

-算法的结构将是欠拟合(underfitting),即使训练数据非常好也会失败;

-梯度下降算法不一定会收敛;

这样的话,除了技术分享,其他的参数都约等于0, 技术分享, 将得到类似如下的欠拟合图形:

技术分享

关于正则化,以下引自李航博士《统计学习方法》1.5节关于正则化的一些描述:

模型选择的典型方法是正则化。正则化是结构风险最小化策略的实现,是在经验风险上加一个正则化项(regularizer)或罚项(penalty term)。正则化项一般是模型复杂度的单调递增函数,模型越复杂,正则化值就越大。比如,正则化项可以是模型参数向量的范数。

正则化符合奥卡姆剃刀(Occam’s razor)原理。奥卡姆剃刀原理应用于模型选择时变为以下想法:在所有可能选择的模型中,能够很好地解释已知数据并且十分简单才是最好的模型,也就是应该选择的模型。从贝叶斯估计的角度来看,正则化项对应于模型的先验概率。可以假设复杂的模型有较大的先验概率,简单的模型有较小的先验概率。

3) Regularized Linear Regression(线性回归的正则化)

线性回归包括成本函数,梯度下降算法及正规方程解法等几个部分,不清楚的读者可以回顾第二课及第四课的笔记,这里将分别介绍正则化后的线性回归的成本函数,梯度下降算法及正规方程等。

首先来看一下线性回归正则化后的Cost function:

技术分享

我们的目标依然是最小化技术分享,从而得到相应的参数技术分享. 梯度下降算法是其中的一种优化算法,由于正则化后的线性回归Cost function有了改变,因此梯度下降算法也需要相应的改变:

技术分享

注意,对于参数技术分享,梯度下降算法需要区分技术分享技术分享

同样的正规方程的表达式也需要改变,对于

X 是m * (n+1)矩阵

技术分享

y是m维向量:

技术分享

正则化后的线性回归的Normal Equation的公式为:

技术分享

假设样本数m小于等于特征数x, 如果没有正则化,线性回归Normal eqation如下:

技术分享

如果技术分享不可逆怎么办?之前的办法是删掉一些冗余的特征,但是线性回归正则化后,如果技术分享,之前的公式依然有效:

技术分享

其中括号中的矩阵可逆。

4) Regularized Logistic Regression(逻辑回归的正则化)

和线性回归相似,逻辑回归的Cost Function也需要加上一个正则化项(惩罚项),梯度下降算法也需要区别对待参数

再次回顾一些逻辑回归过拟合的情况,形容下面这个例子:

技术分享

其中Hypothesis是这样的:

技术分享

逻辑回归正则化后的Cost Function如下:

技术分享

梯度下降算法如下:

技术分享

其中技术分享.

参考资料:

第七课“正则化”的课件资料下载链接,视频可以在Coursera机器学习课程上观看或下载:https://class.coursera.org/ml

PPT PDF

李航博士《统计学习方法》

http://en.wikipedia.org/wiki/Regularization_%28mathematics%29

http://en.wikipedia.org/wiki/Overfitting

Coursera公开课笔记: 斯坦福大学机器学习第七课“正则化”

原文:http://blog.csdn.net/bestlove12345/article/details/51813444

(0)
(0)
   
举报
评论 一句话评论(0
关于我们 - 联系我们 - 留言反馈 - 联系我们:wmxa8@hotmail.com
© 2014 bubuko.com 版权所有
打开技术之扣,分享程序人生!