1、随机变量
我们不关心随机试验的具体结果或发生顺序,关系的是与之有关的数字。
随机变量是将随机试验的结果与数字联系起来的一种函数,而且它的取值有一定的概率。
随机变量用大写字母表示,实数用小写字母表示。
如:投掷三次硬币出现2次正面的概率。
随机试验A的结果为={正正反,正反正,反正正}
随机变量X=2
概率=3/8
则P(X=2)=P(A)即P(正正反,正反正,反正正)=3/8
2、离散型随机变量及其分布律
某些随机变量,全部可能取到的不相同的值是有限个或可列无限个,这种随机变量称为离散型随机变量。
离散型随机变量X的分布律:
设X为离散型随机变量,它的一切可能取值为xk(k=1,2,....),X取各个可能值的概率,为
  P{X=xk}=pk,k=1,2……
  称上式为X的分布律。
满足2个条件:
pk≥0;
∑pk=1.
重要分布:
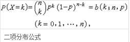
二项分布:
设试验E只有两个可能结果:A和A,则E是贝努利试验。P(A)=p,P(A)=1-p
n重贝努利试验:将试验E独立重复地进行n次。
独立:每次试验的结果互不影响;重复:事件A发生的概率不变。
X表示n重贝努利试验中事件A发生的次数。

当n=1时,即只进行1次贝努利试验,随机变量X只可能取0,1值。

之所以称为二项分布,是因为上式是二项式(p+q)n的某一项。
泊松分布:

3、随机变量的分布函数
对于连续型随机变量,看其在某一点的概率值没啥意义(其实,在任一点的概率都=0)。所以要研究连续型随机变量所取的值落入一个区间的概率。
分布函数:

基本性质:
F(x)是一个不减函数;
取值在0,1之间;
F(x+0)=F(x),即F(x)为右连续。
F(x)是X≤x的累计概率值。
离散型随机变量X的分布函数:

4、连续型随机变量及其概率密度


连续型的随机变量取值在任意一点的概率都是0。作为推论,连续型随机变量在区间上取值的概率与这个区间是开区间还是闭区间无关。要注意的是,概率P{x=a}=0,但{X=a}并不是不可能事件。
重要分布:
均匀分布

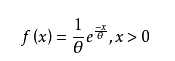
指数分布:
或
性质:
正态曲线关于x=µ对称;
当x=µ时取到最大值,正态曲线由均值所在处开始,分别向左右两侧逐渐均匀下降;
在μ±σ处有拐点;

其概率密度和分布函数分别记为:φ(x),Φ(x)
引理:
标准化变换

正态分布,尽快正态变量的取值范围是(-∞,∞),但落入(µ-δ,µ+δ)的概率为68.26%(即:f(x)在这个区间的面积),落入(µ-3δ,µ+3δ)的概率为99.74%,几乎是肯定的事,这就是3δ法则。
上ª分位点:对于标准正态分布,若zª满足条件P(X>zª)=ª,则呈zª为标准整体分布的上ª分位点。
5、随机变量的函数的分布
讨论如何由已知的随机变量X的概率分布求得它的函数Y=g(X)的概率分布。
原文:http://www.cnblogs.com/yaofang/p/5586931.html