首页 > 编程语言 > 详细

增强学习贪心算法与Softmax算法

时间:2016-05-31 10:18:11      阅读:437      评论:0      收藏:0      [点我收藏+]

(一)技术分享

这个算法是基于一个概率来对探索和利用进行折中:每次尝试时,以技术分享概率进行探索,即以均匀概率随机选取一个摇臂,以技术分享的概率进行利用,即以这个概率选择当前平均奖赏最高的摇臂(如有多个,则随机选取)。

 

技术分享

技术分享

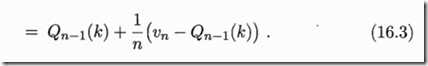
其中:小k表示第k个摇臂。因为大K表示摇臂总数;n表示尝试的次数,vn表示第n次尝试的奖赏。

Qn的直观意思为:技术分享为前n-1次的平均奖赏。当其与n-1相乘所得是前n-1次总奖赏。再加上第n次的奖赏,处于n,则为n次的平均奖赏。

技术分享

其中:argmax为选取最优的Q(i)。count是从0开始的,故count(k)+1的值为n,算出的Q(k)为n次的平均奖赏。

 

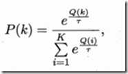
(二)Softmax算法

softmax算法是基于当前已知的摇臂平均奖赏来对探索和利用进行折中。若各摇臂的平均奖赏相当,则选取各摇臂的概率也相当;如果某些概率的平均奖赏明显高于其他奖赏,则它们被选的概率也明显高。

在贪心算法中,技术分享的取值是由用户选取的。softmax算法中摇臂概率的分配是基于Boltzmann分布技术分享

<查>Boltzmann分布

技术分享

技术分享

从算法中并没有看出botlzmann分布的利用?

至于两个算法的取舍还要看实际情况。从下图看出,softmax当温度=0.01时,曲线与“仅利用”的曲线几乎重合。

技术分享

增强学习贪心算法与Softmax算法

原文:http://www.cnblogs.com/blueyyc/p/5544752.html

(0)
(0)
   
举报
评论 一句话评论(0
关于我们 - 联系我们 - 留言反馈 - 联系我们:wmxa8@hotmail.com
© 2014 bubuko.com 版权所有
打开技术之扣,分享程序人生!