首页 > 其他 > 详细

Zernike矩之边缘检测(附源码)

时间:2016-01-30 22:28:14      阅读:313      评论:0      收藏:0      [点我收藏+]

这一篇博文将讨论Zernike矩在边缘检测中的应用,关于Zernike矩的基本概念,可以参看Zernike矩之图像重建(附源码

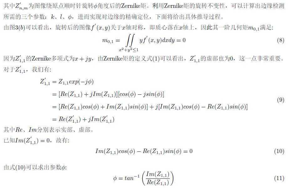
技术分享

技术分享

技术分享

技术分享

技术分享

技术分享

技术分享

技术分享

技术分享

技术分享

源码下载

参考:

[4] Ghosal S, Mehrotra R. Orthogonal moment operators for subpixel edge detection[J]. Pattern recognition,
1993, 26(2): 295-306.

Zernike矩之边缘检测(附源码)

原文:http://www.cnblogs.com/luo-peng/p/5171455.html

(1)
(0)
   
举报
评论 一句话评论(0
关于我们 - 联系我们 - 留言反馈 - 联系我们:wmxa8@hotmail.com
© 2014 bubuko.com 版权所有
打开技术之扣,分享程序人生!