本文转自http://blog.csdn.net/sunmenggmail/article/details/13004675
1. 最大似然估计提供了一种给定观察数据来评估模型参数的方法,即:“模型已定,参数未知”。简单而言,假设我们要统计全国人口的身高,首先假设这个身高服从服从正态分布,但是该分布的均值与方差未知。我们没有人力与物力去统计全国每个人的身高,但是可以通过采样,获取部分人的身高,然后通过最大似然估计来获取上述假设中的正态分布的均值与方差。最大似然就是寻找最可能的参数,使得这些采样样本出现的概率最大。
最大似然估计中采样需满足一个很重要的假设,就是所有的采样都是独立同分布的。下面我们具体描述一下最大似然估计:
首先,假设
为独立同分布的采样,θ为模型参数,f为我们所使用的模型,遵循我们上述的独立同分布假设。参数为θ的模型f产生上述采样可表示为

回到上面的“模型已定,参数未知”的说法,此时,我们已知的为
,未知为θ,故似然定义为:
在实际应用中常用的是两边取对数,得到公式如下:

其中
称为对数似然,而
称为平均对数似然。而我们平时所称的最大似然为最大的对数平均似然,即:

举个别人博客中的例子,假如有一个罐子,里面有黑白两种颜色的球,数目多少不知,两种颜色的比例也不知。我 们想知道罐中白球和黑球的比例,但我们不能把罐中的球全部拿出来数。现在我们可以每次任意从已经摇匀的罐中拿一个球出来,记录球的颜色,然后把拿出来的球 再放回罐中。这个过程可以重复,我们可以用记录的球的颜色来估计罐中黑白球的比例。假如在前面的一百次重复记录中,有七十次是白球,请问罐中白球所占的比例最有可能是多少?很多人马上就有答案了:70%。而其后的理论支撑是什么呢?
我们假设罐中白球的比例是p,那么黑球的比例就是1-p。因为每抽一个球出来,在记录颜色之后,我们把抽出的球放回了罐中并摇匀,所以每次抽出来的球的颜 色服从同一独立分布。这里我们把一次抽出来球的颜色称为一次抽样。题目中在一百次抽样中,七十次是白球的概率是P(Data | M),这里Data是所有的数据,M是所给出的模型,表示每次抽出来的球是白色的概率为p。如果第一抽样的结果记为x1,第二抽样的结果记为x2... 那么Data = (x1,x2,…,x100)。这样,
P(Data | M)
= P(x1,x2,…,x100|M)
= P(x1|M)P(x2|M)…P(x100|M)
= p^70(1-p)^30.
那么p在取什么值的时候,P(Data |M)的值最大呢?将p^70(1-p)^30对p求导,并其等于零。
70p^69(1-p)^30-p^70*30(1-p)^29=0。
解方程可以得到p=0.7。
在边界点p=0,1,P(Data|M)=0。所以当p=0.7时,P(Data|M)的值最大。这和我们常识中按抽样中的比例来计算的结果是一样的。
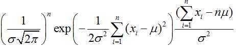
假如我们有一组连续变量的采样值(x1,x2,…,xn),我们知道这组数据服从正态分布,标准差已知。请问这个正态分布的期望值为多少时,产生这个已有数据的概率最大?
P(Data | M) = ?
根据公式

可得:
对μ求导可得
,则最大似然估计的结果为μ=(x1+x2+…+xn)/n
由上可知最大似然估计的一般求解过程:
(1) 写出似然函数;
(2) 对似然函数取对数,并整理;
(3) 求导数 ;
(4) 解似然方程
注意:最大似然估计只考虑某个模型能产生某个给定观察序列的概率。而未考虑该模型本身的概率。这点与贝叶斯估计区别。贝叶斯估计方法将在以后的博文中描述
2. 贝叶斯估计
从公式可以看出贝叶斯的优势在于引入了参数的先验概率
3. 那么最大后验概率就是在贝叶斯的基础上,找到一组参数,使得后验概率最大。
原文:http://www.cnblogs.com/guo-xiang/p/5021582.html