1 中国剩余定理:
设正整数m1, m2, m3 …… mk两两互素,则一次同余方程组 x ≡ ai (mod mi) i = 1, 2, 3, ……, k有整数解,且在mod m = m1* m2 * m3 …… mk下解是唯一的,即任意两个解都是mod m同余的
设Mi = m / mi; 那么

因为Mi(i = 1, 2, 3, …… , i != k) 是mk的倍数,可以约去,
而
中
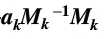
其中
是
的逆,所以
≡ 1 (mod mk)
mod mk等于 1 ,所以
mod mk 等于ak
所以所求x是满足所有条件的解
#include <iostream> #include <stdio.h> #include <cmath> using namespace std; const int MAXN = 100; int nn, a[MAXN], n[MAXN]; int egcd(int a, int b, int &x, int &y) { int d; if (b == 0) { x = 1; y = 0; return a; } else { d = egcd(b, a%b, y, x); y -= a/b*x; return d; } } int lmes() { int i, tm=1, mf, y, ret=0, m; for (i=0; i<nn; i++) tm *= n[i]; for (i=0; i<nn; i++) { m = tm/n[i]; egcd(m, n[i], mf, y); ret += (a[i]*m*(mf%n[i]))%tm; } return (ret+tm)%tm; } int main() { a[0] = 4; a[1] = 5; n[0] = 5; n[1] = 11; nn = 2; printf("%d\n", lmes()); return 0; }
原文:http://www.cnblogs.com/rain-1/p/4781216.html